A-A+
矩阵与矩阵的乘积 、矩阵与向量的乘积
矩阵与矩阵的乘积
矩阵与向量的乘积
先上运算,再解读:

一个矩阵乘以一个列向量相当于矩阵的列向量的线性组合。

一个行向量乘以矩阵,相当于矩阵的行向量的线性组合。
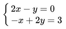
方程组:

在二维平面中,相当于找两条直线的交点。
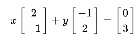
写成如下形式:


把方程组看成是Ax=b,相当于是寻找矩阵A的列向量的某个线性组合,使得等于b。可以引申出来:二维平面的任意两个向量的任意组合可以表达出来整个平面。但是这里的任意两个向量不可以共线,如果共线,其线性组合也只能表达这条线上的向量。(任意一个向量可以看成是二维平面中的一个点,此点表示的向量就是由原点指向这一点的向量。)
三维的情形:


AX=b,A的每一行乘以X相当于一个平面,则上面的方程组代表求三个平面的交点。一般可以先求任意两个平面的交线,再用这条交线和第三个平面求交点。
若写成下面的A的列的线性组合:

相当于求三个三维向量的的某个线性组合,使得结果是第四个三维向量(b)。
可不可以认为任意三个三维向量的线性组合可以表达出整个三维空间中所有的三维向量呢?在三个三维向量不共面的情况下可以这样认为。如果有一个三维向量是另外两个三维向量的线性组合,则这三个三维向量共面,此时,这三个三维向量的任何线性组合都在这个面内,不可能表达出整个三维空间。此时如果第四个三维向量(b),不在此面内,则相当于方程组无解。
文章来源:https://www.cnblogs.com/yibeimingyue/p/9924698.html
https://baike.baidu.com/item/%E7%9F%A9%E9%98%B5%E4%B9%98%E6%B3%95/5446029?fr=aladdin

布施恩德可便相知重
微信扫一扫打赏
支付宝扫一扫打赏